首页| 关于我们| 视频片段| 联系我们| ENGLISH
专 家 委 员 | 学 术 活 动 | 学 术 论 文 | 政 策 法 律 | 书 刊 推 介 | 知 识 园 地 | 专 家 讲 坛 | 培 训 信 息
信 息 动 态 | HIS  建 设 | 标 准 规 范 | 信 息 技 术 | 医 药 技 术 | 医 学 工 程 | 信 息 科 学 | 国 外 动 态

最新公告:

第十三届中国电子病历博览会在杭州顺利召开   第十二届中国电子病历互联网医疗博览会顺利召开   第16届世界医药健康信息学大会杭州会场集锦   第十二届中国电子病历·人工智能·博览会邀请函   MedInfo2017 会议论文集已成功上线!   第二届世界医药健康信息学华语论坛苏州集锦   第十三届全国医药信息学大会论文集    设 为 首 页 加 入 收 藏

您现在的位置:中国医药卫生信息网 >> 首页 >> 学术论文 >> 信息科学

基于小波变换的脑电去噪方法研究

 
基于小波变换的脑电去噪方法研究

[作者:杨金奎 刘希顺 刘安芝 | 发表时间:2006-11-14  |点击数:3727  ]

基于小波变换的脑电去噪方法研究

杨金奎 刘希顺 刘安芝
(国防科学技术大学电子科学与工程学院,长沙,410073)
 
摘自:第十届全国医药信息学大会论文集
 
摘  要  摘要  本文探讨了小波变换在脑电去噪中的应用方法,介绍了不同小波基对脑电去噪的影响,比较了小波软门限法和一维小波单支重构去噪方法的去噪效果。实验结果表明,这两种小波方法用于脑电去噪是有效的。
关键词  小波变换  脑电  去噪
 
 
The Research of Noise Removal for EEG Signals Based on Wavelet Transform
 
YANG  Jinkui,  LIU  Xishun,  LIU  Anzhi
(School of Electronic Science and Engineering , National University of Defence Technology ,
Changsha  410073)
Abstract  The application of noise removal for EEG signals based on wavelet transform is discussed in the paper,And the influence on EEG noise removal using different wavelet basis is introduced,Furthermore the wavelet soft-thresholding method and 1-Dimensional wavelet single-branch reconstruction are used for removing noise in EEG. signals.Experiment results show both methods are good for noise removal in EEG signals.
Key words   Wavelet transform  Electroencephalogram(EEG)   Noise removal
 
引  言
  脑电(EEG)源于大脑皮层神经元的复杂电活动,反映大脑的生理和病理状态,在临床诊断大脑神经系统疾病中发挥着极其重要的作用。当其穿过颅骨和头皮时,由于背景噪声和大脑内部电噪声的影响,从头皮测量的脑电信号有所改变,而测得EEG信号往往信噪比比较低,总之,EEG信号有以下几个特点[1-2]:(1)信号弱,正常健康人的EEG幅度仅为20-50µV 。(2)噪声强,眼电(EOG)在眼睛周围测量可达mV级。(3)非高斯随机性,EEG信号具有非静态和非线性的固有属性。这些低幅度的信号对噪声极其敏感,这给处理EEG信号带来很大的困难,因而在生物信号处理领域,去除EEG信号中的噪声(或干扰)极具挑战性。小波变换在时域和频域同时具有良好的局部化特性,与短时傅立叶变换主要不同之处是其分析窗口(时间窗和频率窗)是可变的,称之为多分辨率分析特性,近年来国内外研究人员将小波变换应用于EEG信号的分析处理[2-5],取得了长足的进展,小波变换用于信号降噪的主要步骤[1]是:对信号进行小波分解,然后量化处理小波分解后的系数域值,最后进行小波重构。本文基于小波变换,研究不同的小波基对EEG信号去噪的影响,探讨了不同的小波降噪方法的效果。
 
小波变换基本原理
  对于任一平方可积信号 ,令小波函数 ,且其傅氏变换满足 ,则 的二进正交小波变换定义为:
    (1)
相应的小波逆变换为:
           (2)
  其中, 。从(1)式可以看出,小波变换就是将时间函数 映射到尺度-时间平面上,就是用不同尺度的小波函数对 进行平滑的结果。公式(2)就是对信号 进行重构的过程。
 
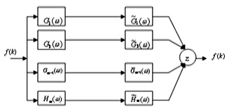
  如果 通道的二进小波分解的变换函数分别记作 ,这里 , 是 的共轭, 是适当的低通滤波器,如果采用Mallat快速算法则这种可逆的小波函数可看作信号噪声去除的小波基,我们可在重构前附加必要的去噪处理步骤(见图1)。
 
图1  二进正交小波去噪示意图3 实验方法和结果

  本实验采用PhysioBank(physiologic signal archives for biomedical research)提供的睡眠EDF(Europe Data Format)数据库[7]中的一部分数据。这部分数据来自于33岁没有采取任何治疗措施的白种女人,包含有水平EOG(horizontal EOG)、Fpz-Cz以及Pz-Oz导联的EEG信号,采样频率均为100Hz,选用前10秒共1000点的数据(见图2)。从图2可以明显地看到两路EEG信号均含有

来自:第十届全国医药信息学大会论文集 | 录入日期:2007-7-3 | 责任编辑:bjlw
声明:本网注明"来源"的文/图等稿件均为转载稿,本网转载出于传递更多信息之目的,并不意味着赞同其观点或证实其内容的真实性.
上一篇文章: 基于BP型人工神经网络的冠心病诊断新方法
下一篇文章: 8-异前列腺素F2α在评价机体氧化应激状态及信息化中的应用
告诉好友 | 打印此文 | 关闭窗口 
 · 美国远程医疗商业模式全揭秘:巨头的不同选...
 · 第16届世界医药健康信息学大会杭州会场集锦...
 · 信息产业部电子商务示范工程批复件
 · MedInfo2017 会议论文集已成功上线!
 · 第十三届全国医药信息学大会论文集
 · 威海市立医院举行健康医疗大数据研究院揭牌...
 · 英国最强的超级计算机赋能AI和医疗领域研究...
 · 麻省理工研究出脑瘤治疗的人工智能解决方案...
 · IBM拟:研究出售AI医疗业务沃森健康
 · 台湾阳明交通大学合并进行智慧医疗研究